潔凈室自凈時間的理論計算
2025/4/25
自凈性能測試目的是用以確定潔凈室或潔凈設施清除懸浮微粒污染物的能力與速率, 這是非單向流潔凈室最重要的性能反映。自凈性能由 100∶ 1的自凈時間來表示,ISO 14644定義100∶ 1自凈時間為: 粒子濃度降至 0. 01 倍初始濃度所需的時間。
在國際上,房間的通風換氣次數是空調系統的重要參數。ISO14644、 美國國家環境平衡局NEBB的《潔凈室認證測試程序性標準》、 GB 50073《潔凈廠房設計規范》都建議定期對潔凈室自凈時間進行檢測。
本文在基于均勻分布理論計算的基礎上,探討自凈時間與換氣次數之間的關系。
基于均勻分布理論,潔凈室瞬時含塵濃度的理論公式為 :
其中
Ct —— 瞬時含塵濃度,pc /m3;
C —— 穩定工況時的含塵濃度,pc /m3;
C0 —— 室內初始含塵濃度,pc /m3;
n —— 換氣次數,次 /h;
t —— 系統運行時間,min;
s —— 循環風與送風量之比;
η —— 循環風通路的過濾效率,% 。
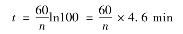
本文研究濃度降到原來的1/100時的自凈時間, 即Ct /C0 = 0. 01。在對上式進行簡化時,兩邊同時除以C0,且 C0>>C,回風通路上設有高效過濾器, 因此( C0 - C) /C0≈1,1 - s( 1-η) ≈1, 經簡化后得自凈時間:

再進一步,C /C0≈0:

因此,我們可以計算不同換氣次數下的自凈時間約為:

在實際測試過程測得的自凈時間可能與理論算術結果略有出入, 這是由于理論計算公式是基于均勻分布理論, 而實際潔凈室的氣流組織狀況不可能達到使室內顆粒物均勻分布。潔凈室的顆粒分布可能存在由4個不均勻分布區域組成的模型:即主流區、 渦流區、回風口區和產塵區。

在產塵區, 顆粒物具有一定的初始動量,此時其擴散主要受初始動量的影響,當其動量衰減到一定程度以后顆粒物隨室內氣流擴散: 其中一部分混入渦流區,另一部分則進入主流區; 主流區內的顆粒物一部分隨回流折回渦流區, 在渦流區分布開來并隨主流區引帶氣流回到主流區, 這樣顆粒物周而復始地在室內循環, 滯留時間長。基于這種原因, 實際自凈時間可能要大于理論自凈時間。為盡量減小不均性的影響, 在測量時可設置多個測點,然后取各點的平均值。




